The world of marketing has been thrown into turmoil as a result of globalization, and this has led to the creation of competition. As a result, global brands such as Hush Puppies need to grow and innovate to thrive in this new era of globalization. One of them is by utilizing social media marketing to build brand awareness, allowing the buying decision-making process to develop independently. Social media marketing can also connect brands with customers and influence customer feelings; therefore, they can recognize brands in the purchasing decisions stages. This study analyzes the effect of social media marketing on purchase decisions with brand awareness as an intervening variable on Hush Puppies customers in Indonesia. Causal design was employed as research design. The data collection method used a questionnaire for a total of 300 respondents. Structural Equation Modeling (SEM) with the AMOS 26 statistical tool was employed for data analysis.
Social media is an important part of leverage for the sustainability of a business. Social networking sites have emerged as a channel through which retailers can broaden the scope of their marketing operations to reach a greater variety of customers. Research by Hootsuite [1] revealed that approximately 4.20 billion people were using social networks worldwide in 2021, out of a total population of 4.66 billion people who use the internet. As for Indonesia, internet penetration reached 73.7 percent, while active social media users reached 61.8 percent of the country's total population. The number of people using social media who were actively engaged increased by 12.6 percent, from 170 million in 2021 to 191.4 million in 2022. The percentage of social media users in Indonesia who access WhatsApp is as high as 88 percent, the percentage of users who access Instagram is as high as 84.8 percent, the percentage of users who access Facebook is as high as 81.3 percent, and the percentage of users who access TikTok is as high as 63.1 percent. The preceded data indicated that social media can bring new ways of communicating in life and is very important to optimize marketing strategies. The use of social media can be used as a strategic plan for companies for product promotion to survive and face competition [2].
Because of the fierce competition in the business world, entrepreneurs must be quick to respond to and embrace new opportunities. [3]. Businesses are adapting to the rising influence of social media platforms like Facebook, Twitter, Instagram, and TikTok. Internet is used not only as an ordinary networking medium but also as an increase in target consumer awareness of the brand. Interactions on social media are especially relevant for brands because social media users frequently rely on the recommendations they receive from those using the platform. [4], and these communications influence decision-making [5].
Customer involvement and interaction on social media present both opportunities and challenges for marketers, as customers increasingly base their purchasing decisions on the conversations that occur among their peers on social media [6]. The majority of service providers now create their own social media pages in order to connect with customers online and build a positive brand image towards their brand, as marketing practitioners have found that consumers are becoming more comfortable using internet channels and social networking sites to connect with each other [6].
A significant component of a company's ability to compete successfully is its brand, which consumers use to differentiate between otherwise comparable products and services offered by various businesses and to incline their preferences in that direction. It highlights the significance of brand management and the many activities that companies engage in that have the potential to influence brand awareness. In recent years, the growing use of social media by individuals to communicate and share content with other users has resulted in opportunities and challenges for companies, offering new tools for interacting with current and potential customers [7] and sharing information about brands and products [8]. A powerful brand with favorable brand equity provides a number of benefits, including larger profits, potential for brand extension, enhanced efficacy of marketing communications, and significant customer loyalty. In addition, it is well recognized that increased levels of brand equity lead to increased levels of consumer preference and intent to purchase. According to some business practitioners, content marketing is a marketing strategy by businesses to create and disseminate valuable, consistent, and relevant information to grab maximum market share and increase profits (Content Marketing Institute, 2015).
Customers are critical to any business establishment [9] [10]. The ability to fulfill the requirements of one's customers is essential to one's success, as is the capacity to not only fulfill the requirements of one's clients but also to go above and beyond their initial expectations [11] [12] [13]. In order to accomplish this objective, it is necessary to investigate and understand consumer behavior and the processes involved in purchasing decisions [14].
Hush Puppies is a brand from the United States that falls under Wolverine World Wide. It is highly known among the upper middle class and has a variant model with up-to-date innovations that follow the times. Hush Puppies' official website shows that the brand was founded in 1958. For the time being, products with the Hush Puppies brand name can be purchased in over 120 countries worldwide. There are 64 locations of Hush Puppies in Indonesia, such as Pontianak, Medan, Jakarta, Bandung, Surabaya, Palembang, Manado, Makassar and several other cities. Even though it has been there since the 1950s and a lot of other brands are similar to it, the Hush Puppies brand is still going strong and expanding.
Several research results showed that social media marketing activities positively affect brand awareness [15]. On the contrary, the subsequent research revealed that social media marketing has a positive and low relationship to purchase decisions, and brand awareness which has a positive and low relationship to purchase decisions [16]. The research of vitor azzari and Anderson Pelissari showed no direct positive relationship between brand awareness and purchase decision. This research is significant because there are several debates concerning the influence of social media and brand awareness on purchasing decisions. This research highlighted the extent of the effect of social media marketing on purchase decisions with brand awareness as an intervening variable in Hush Puppies brand products. The study is expected to demonstrate a testing framework that is anticipated to be more comprehensive than previous studies.
Literature Review
Social Media Marketing: The rapid development of the internet has provided some new opportunities. In addition to the unlimited information search and communication function, customers can also express their thoughts, opinions, and feelings through social media [17]. Customers and brands can be connected through social media marketing, which also facilitates customers' participation in social interactions and centralized networking [18] and play an important role in influencing consumers' feelings and perceptions of brands [19]. Social media marketing triggers viral communication among consumers throughout online communities, brand and fan pages, and promotional-related content is generated by companies or organizations on popular networking sites such as Twitter, Facebook, and many others [20].
Social Media Marketing can provide several advantages for companies. In addition to enabling customers to share information and ideas freely, social media marketing allows consumers to have a two-way conversation with the brands they follow. It contributes to reducing consumer prejudice toward brands, which ultimately increases brand value. [21]. In his book Joint the Conversation, Jaffe [22] highlights the importance of social media as an access point to "a series of rich, dynamic, traditional market research techniques, social media offers a real-time view into the consumer's mind by listening to consumers as well as an opportunity for consumers to provide real-time feedback [23]. Moreover, Stelzner [24] observed that marketers can use social media to expose their target customers to brand messages, improve search rankings, and increase customer loyalty.
Brand Awareness
Brand awareness is the ability of customers to recognize and remember a brand in various ways [25]. According to Aeker [26], brand awareness shows the recognition that is communicated to the brand, which enables customers to identify with the brand's products, which, as a result, offers the company an advantage in the market that does not change over time. Brand awareness is a fundamental component of brand equity [25,27-32]. Keller [33] stated that brand awareness is about track or crowd power in consumer memory that reflects the consumer's ability to remember or recognize a brand in various settings. The most important advantage for companies in increasing brand awareness is that it strengthens their brand presence in the consumer's memory and, in turn, influences customer decision-making processes [34]. The use of social media is an efficient method for businesses to raise brand awareness since it allows them to introduce their products or services to a substantial number of customers [8].
Purchase Decision
Individuals engage in purchasing decisions, which consist of a series of decision-making processes and physical acts, whether they are analyzing, obtaining, utilizing, or getting rid of goods and services [35]. Some factors influence consumers' purchasing decisions, regardless of the situation and level of decision-making, including external, internal, and marketing factors [36]. The consumer decision-making process usually goes through several stages, including problem recognition, information search, alternative evaluation, and product selection. Consumers typically inquire about the brand's quality before making a purchase decision. As a result, consumers tend to look at vloggers' reviews before making a purchase decision to get the most suitable product. As the times and trends change, consumers' purchasing behavior is also changing for their ingestion [37]. Schiffman and Kanuk [38] stated that a purchase decision is a provision by which consumers can decide on one or many alternative options.
Social Media Marketing and Brand Awareness
Social media marketing applied companies to build awareness of their brands [21]. Social media utilization allows businesses to expand their brand awareness [39]. Social media has become a platform where customers interact with a brand [40]. According to Seo & Park [41], social media marketing positively affects brand awareness and image. Several previous studies also prove it show that Social Media Marketing activities positively impact Brand Awareness. [6,41-42]. The more consumers use social media, the higher their brand awareness. Therefore, this research formulated a hypothesis in the following:
H1: Social media marketing positively and significantly affects brand awareness
Social Media Marketing and Purchase Decision
Social media is one of the alternative media to establish communication with customers and significantly influences consumers' purchasing decisions [43-45]. According to Meslat [46], social media directly influences purchase decisions. It is in line with Caecilia, Kindangen, and Tumewu [47] that explained that purchase decisions are directly influenced by social media marketing on YouTube and Instagram; however, Facebook social media marketing has an indirect effect on purchase decisions. The subsequent research revealed that social media influences consumer purchasing behavior [48]. According to Madni [49], before making a purchase, 47 percent of customers make their purchases online, and 53 percent of customers typically look for information on discussion boards, social media accounts, corporate websites, and from other customers. It implied that social media marketing could automatically cause customers to make purchasing decisions, provided it is done correctly and properly communicated to the public. Therefore, this research formulated a hypothesis in the following:
H2: Social media marketing positively and significantly affects purchasing decisions
Brand Awareness and Purchase Decision
Several researchers revealed that brand awareness positively influences purchasing decisions [16,50-52]. It indicates that when there is greater familiarity with the brand that comprises the most favored option, the decision-making process will be accelerated while simultaneously being elevated. The research conducted by emphasizes the role of brand awareness as mediation can affect the decision of future purchases. This is in line with research conducted by Shabir et al. on the role of marketing campaigns on purchasing intentions that are mediated by brand awareness. Thus, the hypothesis is formulated as follows:
H3: Brand awareness has a positive and significant effect on purchasing decisions
H4: Brand awareness mediates positively and significantly the effect of social media marketing on purchasing decisions
Measurements
This causal research was employed in this study. Data collection was obtained from the distribution of a 5-point Likert scale questionnaire with responses ranging from 5 strongly agree to 1 as strongly disagree to Hush Puppies customers. Social Media Marketing was measured based on five indicators that Raharjo and Semuel [53] developed. Moreover, brand awareness was assessed by using indicators developed by Dhurup, Mafini and Dumasi [54] and purchase decisions were measured by indicators developed by Upadana and Pramudana [55]. The number of samples collected and studied in this study was 300 respondents. The samples involved are current and potential Hush Puppies consumers living in Indonesia. Sampling locations were distributed in various cities in Indonesia such as Pontianak, Jakarta, Bandung, Medan, Surabaya, Makasar, Manado, and various other parts of Indonesia, through online questionnaires. This research employed Structural Equation Modeling (SEM) with the AMOS 26 statistical tool to analyze and evaluate the research construct's measurement model and structural model. The fit test model is assessed based on the goodness of fit index parameters such as chi-square (χ2), CMIN/DF, Root Mean Square Error of Approximation (RMSEA), root means squared residual (RMR), goodness of fit index (GFI), Tucker Lewis Index (TLI), Incremental Fit Index (IFI), Comparative Fit Index (CFI), Normed Fit Index (NFI). The validity evaluation will rely on the value of the standardized loading factor (SLF), whose value must be≥0.50 and the reliability construct will rely on the results of tabulation of construct reliability (CR) and average variance extracted (AVE) values. Furthermore, the SEM analysis is the structural models' analysis to assess the research hypotheses and determine whether they are accepted or rejected. The SEM analysis will display the t-count value on each coefficient. A hypothesis is considered to have a causal relationship if the t-count value≥t table (1.96) to a significant degree of α (usually α = 0.05).
Respondent Characteristics
The analysis of the respondents’ profiles in this research was based on the following demographic characteristics:
Measurement and Structural Models
The results of goodness of fit, validity, and reliability tests can be described as follow:
Table 2 present the result of the validity and reliability test. The standardized loading factor (SLF) value of all indicator variables in the full model is greater than 0.50. It indicates that all indicators are considered valid and capable of measuring the construct of the full model being formed. The reliability test results present corresponding results. All instruments are considered reliable and can measure constructs of the full model consistently. It can be seen from the Avariance extracted (AVE) value of the entire indicator instrument that obtained a value of≥0.50 and a construct reliability (CR) value that obtained a value of≥0.70.
Table 1: Characteristics of Respondents
| Category | Item | f | % |
| Gender | Male | 104 | 34,7 |
| Female | 196 | 65,3 | |
| Total | 300 | 100 | |
| Age | 17-24 Tofun | 132 | 44 |
| 25-38 Years | 168 | 56 | |
| Over 38 Years | 0 | 0 | |
| Total | 300 | 100 | |
| Profession | Students | 79 | 26,3 |
| Civil servants | 6 | 2 | |
| Private | 200 | 66,7 | |
| Entrepreneurial | 15 | 5 | |
| Total | 300 | 100 | |
| Residence | Jakarta | 73 | 24,3 |
| Surabaya | 51 | 17 | |
| Medan | 36 | 12 | |
| Bandung | 45 | 15 | |
Pontianak Bali Makasar Palembang Manado Depok | 34 20 12 10 13 6 | 11,4 6,7 4 3,3 4,3 2 | |
| Total | 300 | 100 | |
| Hush Puppies Product Shopping Intensity (during 2020-2021) | 1 time 2 times 3 times >3 times | 108 126 42 24 | 36 42 14 8 |
| Total | 300 | 100 | |
Table 2: Measurement Model Results
| Variable | Item | SLF | AVE | CR |
| Social Media Marketing | Promotions and content attract consumers | 0,714 | 0,502 | 0,907 |
| Consumers understand the promotion and content delivered | 0,705 | |||
| Promotions and content provided according to consumer expectations | 0,718 | |||
| Consumers are encouraged to buy after seeing the promotions and content | 0,721 | |||
| Consumers are encouraged to give good recommendations. | 0,683 | |||
| Brand Awareness | When customers are asked what brand they can remember, brand recall measures how far back in time they can think back. | 0,730 | 0,545 | 0,905 |
| Brand recognition, which is how far consumers can recognize the brand in one particular category | 0,758 | |||
| Purchase decision, namely how far consumers will enter a product brand into choices when they buy a product or service | 0,709 | |||
| Consumption: Consumers buy a brand because the brand has become the consumer's top of mind. | 0,755 | |||
| Purchase Decision | Decided to choose | 0,769 | 0,580 | 0,916 |
| Priority | 0,781 | |||
| Awareness of sacrifice | 0,712 | |||
| Like the product | 0,782 |
Table 3 presents the result of the fit test model. Based on the results of the fit test model, it revealed that fit for the model is accepted and considered fit. Eight measurements show the degree of good fit. Hair et al., state that a research model construct can be acknowledged fit and accepted if three to four measurements obtain a degree of good fit or greater than the cut-off value.
Table 3: Goodness of Fit Index
| Goodness of Fit Index | Cut off Value | Results |
| CMIN/DF | ≤3.00 | 1.318 |
| RMSEA | ≤0.08 | 0.033 |
| NFI | ≥0.90 | 0.966 |
| RMR | <0.05 | 0.013 |
| IFI | ≥0.90 | 0.992 |
| TLI | ≥0.90 | 0.989 |
| CFI | ≥0.90 | 0.992 |
Hypotheses Testing
The test results of the causal relationship between variables in the present research construct are as follows.
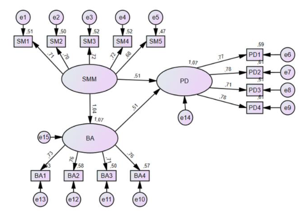
Based on the AMOS results shown in table 4, a t-test value of the effect of social media marketing on Brand awareness of 12,866 and a p-value of 0.001 marked with a three-star symbol was obtained. These results are related to the first hypothesis, where social media marketing positively and significantly affects brand awareness. For the second hypothesis, the t-value of the effect of social media marketing on purchase decisions is 2.138, and the p-value is 0.0 33; less than 0.05 (α = 0.05). It indicates that social media marketing positively and significantly affects purchase decisions. For the third hypothesis, the t-test value of the effect of brand awareness on purchase decisions is 2.150, and the p-value is 0.3 2; less than 0.05 (α = 0.05). It revealed that brand awareness positively and significantly affects purchase decisions.
Table 4: Hypothesis Testing
| Estimate | S.E. | C.R. | P | Descriptions | |||
| BA | <--- | SMM | 1,076 | ,084 | 12,866 | *** | Accepted |
| PD | <--- | SMM | ,530 | ,248 | 2,138 | ,033 | Accepted |
| PD | <--- | BA | ,510 | ,237 | 2,150 | ,032 | Accepted |
SMM = Social Media Marketing; BA = Brand Awareness; PD = Purchase Decision. Size. Critical Ratio (CR) > 1.96 with probability (P)<0.05 *** sign is significant<0.001
Furthermore, the indirect impacts of the mediating variables are presented in Table 5, which contains the Sobel test results.
Table 5, which presents the results of the Sobel test, illustrates the indirect influence of the mediation variables. Based on Table 5, the Sobel test value was obtained at 2.122, and the p-value was 0.034. These results showed that the statistical value of the sobel test was more than the value of t-table (1.96). Likewise, the obtained p-value is less than 0.05 (α = 0.05). It indicated a significant indirect effect of social media on purchase decisions through brand awareness.
Table 5: Sobel Test - Significance of Mediation
| Parameters | Sobel test statistic | Two- tailed probability |
| Social Media Marketing --> Brand Awareness --> Purchase Decision | 2,122 | 0,34 |

Figure 1: Full Model Structural Test
This research was carried out to enhance our understanding of how social media can be used as a form of advertising. When it comes to improving consumers' willingness to make purchases, generating and building brand awareness through social media is the first step. The company utilizes social media interactively, starting from product introduction, price, and sales location [56]. Social media can also be used to observe the interaction of digital competition; access customer reactions; monitor what is said about competitors; and track industry trends [57]. The findings of this research support the previous studies that show a positive and significant effect of social media marketing on purchasing decision-making [16] [58]. The second finding of this research, which found that social media marketing has a positive and significant effect on Brand awareness, is in line with the initial research [59-60]. Increasing brand awareness can have a substantial impact on consumers' purchasing decisions, who may choose to purchase a product or brand based on their familiarity with the product or brand gained from their use of social media. They can identify products and swiftly recall logos of a certain brand or product, as shown in commercials that are available on social media. As a result, to grow brand awareness, the company needs to keep activating its brand and increase the amount of advertising it produces to reach a bigger number of people and let them know about its brand [61].
Furthermore, the next finding supports the previous research regarding the positive effect of brand awareness and purchasing decision-making [62-66]. Also, the last finding of this research revealed that brand awareness mediates social media marketing to purchase decisions for consumers of hush puppies stores in Indonesia. The results of this study verified previous research which stated that brand awareness mediates the influence of social media marketing on consumers' purchasing decisions [67].
The results of this study suggest that, in today’s age of globalization, businesses need to take advantage of social media marketing tactics to raise brand awareness and stimulate consumer purchase decisions. Consumer purchasing decisions have implications for building strong brand awareness through marketing on social media. This study has shortcomings, but they point in the right direction for further research. The first is that the main focus of research is limited to stores and concerns only consumers; therefore, future research may include multiple store employees better to understand the important factors in a retail business. The second limitation deals with the sample size limit as it is suggested that subsequent studies to rely on larger samples. The study did not examine how social media platforms impact similar business competition in a marketer's environment. In the interest of future research, one may investigate the difficulties encountered when utilizing technology, particularly when marketing through social media. In addition, researchers use only surveys to confirm hypotheses, which produce only cross-sectional data. For further research, it is expected to conduct a longitudinal study to see the dynamics of changes in customer purchasing decisions over time.
People in business, particularly those working for corporations that own certain brands, need to continue strengthening their capacity to design marketing plans through social media to raise consumers' knowledge of those brands and improve the quality of consumer decision-making. If a company needs to remain in business and maintain sustainable competitiveness, it will need to have the ability to establish an effective marketing plan. It will affect the brand's ability to be easily recognized by customers. To boost a brand's presence, it is necessary to keep track of concerns about the growth of social media marketing. High brand awareness will not only invite consumers to buy products for the first time but will make consumers continue to make repeated purchases.
We Are Social and Hootsuite. Indonesia digital report 2022. Global Digital Insights, 2022. https://datareportal.com/r eports/digital-2022-indonesia
La Moriansyah. "Social media marketing: antecedents and consequences." Journal of Communication and Public Opinion Research, vol. 19, no. 3, 2015. Faculty of Economics and Business, University of Indonesia.
Fawaid, A. "The influence of digital marketing system, on the competitiveness of Etawa goat milk sales." Journal of Islamic Economics and Banking, vol. 4, no. 1, 2017.
Schmitt, P., Skiera, B. and Van den Bulte, C. "Referral programs and customer value." Journal of Marketing, vol. 75, no. 1, 2011, pp. 46-59.
Hinz, O., Skiera, B., Barrot, C. and Becker, J.U. "Seeding strategies for viral marketing: an empirical comparison." Journal of Marketing, vol. 75, no. 6, 2011, pp. 55-71.
Hutter, K. et al. "The impact of user interactions in social media on brand awareness and purchase intention: the case of MINI on Facebook." Journal of Product and Brand Management, vol. 22, no. 5/6, 2013, pp. 342-351. https://doi.org/10.1108/JPBM-05-2013-0299
Kaplan, A.M. and Haenlein, M. "Users of the world, unite! The challenges and opportunities of social media." Business Horizons, vol. 53, no. 1, 2010, pp. 59-68.
Kumar, V. et al. "Synergistic effects of social media and traditional marketing on brand sales: capturing the time-varying effects." Journal of the Academy of Marketing Science, vol. 45, no. 2, 2017, pp. 268-288. http://doi.org/ 10.1007/s11747-016-0484-7
Kotler, P. and Armstrong, G. Principles of marketing. 15th ed., Pearson, 2014.
Jermsittiparsert, K. et al. "The influence of customer and technology supply chain integration on social sustainable performance with moderating role of organizational structure." International Journal of Supply Chain Management, vol. 8, no. 3, 2019, pp. 71-82.
Yang, C.C. et al. "Strategic-pricing policy based on analysis of service attributes." Cornell Hospitality Quarterly, vol. 50, no. 4, 2009, pp. 498-509.
Chienwattanasook, K. and Jermsittiparsert, K. "Factors affecting art museum visitors' behavior: a study on key factors maximizing satisfaction, post-purchase intentions and commitment of visitors of art museums in Thailand." International Journal of Innovation, Creativity and Change, vol. 6, no. 2, 2019, pp. 303-334.
Jermsittiparsert, K. et al. "The role of customer responsiveness in improving the external performance of an agile supply chain." Polish Journal of Management Studies, vol. 19, no. 2, 2019, pp. 206-217.
Evans, M. et al. Consumer behaviour. Wiley, 2006.
Ismail, A.R. "The influence of perceived social media marketing activities on brand loyalty: the mediation effect of brand and value consciousness." Asia Pacific Journal of Marketing and Logistics, vol. 29, no. 1, 2017, pp. 1-31.
Ansari, S. et al. "Impact of brand awareness and social media content marketing on consumer purchase decision." Journal of Public Value and Administration Insights, vol. 2, no. 2, 2019, pp. 5-10. https://doi.org/10.31580/jpvai.v2i2. 896
Funde, L. Social media factors impacting purchase intention of mobile devices amongst working generation Y in South Africa. Master’s dissertation, University of the Witwatersrand, 2016.
Ali, Z. et al. "To assess the impact of social media marketing on consumer perception." International Journal of Academic Research in Accounting, Finance and Management Sciences, vol. 6, no. 3, 2016, pp. 69-77.
Lai Cheung, Man, Pires, G.D. and Rosenberger III, P.J. "Developing a conceptual model for examining social media marketing effects on brand awareness and brand image." International Journal of Economics and Business Research, vol. 17, no. 3, 2019, pp. 243-261.
Pentina, I. and Koh, A.C. "Exploring social media marketing strategies in SMEs." International Journal of Internet Marketing and Advertising, vol. 7, no. 4, 2012, pp. 292-310.
Kim, A.J. and Ko, E. "Do social media marketing activities enhance customer equity? An empirical study of luxury fashion brand." Journal of Business Research, vol. 65, no. 10, 2012, pp. 1480-1486. http://dx.doi.org/10.1016/j.jbusres .2011.10.014
Jaffe, J. Join the conversation. John Wiley and Sons, 2007.
Chen, J.S. et al. "Blog effects on brand attitude and purchase intention." 2008 International Conference on Service Systems and Service Management, 2008, pp. 1-6.
Solomon, M. Consumer behavior. 10th ed., Pearson Education, 2012.
Stelzner, M. The 2013 social media marketing industry report. Social Media Examiner, 2013. http://www.socia lmediaexaminer.com/SocialMediaMarketingIndustryReport2013.pdf
Aaker, D.A. Managing brand equity: capitalizing on the value of brand name. Free Press, 1991.
Aaker, D.A. Strategic market management. John Wiley and Sons, 2005.
Berry, L.L. "Cultivating service brand equity." Journal of the Academy of Marketing Science, vol. 28, no. 1, 2000, pp. 128-137. https://doi.org/10.1177/0092070300281012
Cobb-Walgren, C.J., Ruble, C.A. and Donthu, N. "Brand equity, brand preference and purchase intent." Journal of Advertising, vol. 24, no. 3, 1995, pp. 25-40. https://doi.org/ 10.1080/00913367.1995.10673481
Keller, K.L. "Conceptualizing, measuring, and managing consumer-based brand equity." Journal of Marketing, vol. 57, no. 1, 1993, pp. 1-22. https://doi.org/10.2307/125205 4
Shen, H. et al. "An empirical study of customer-based brand equity model for China economy hotels." Journal of China Tourism Research, vol. 10, no. 1, 2014, pp. 21-34. https://doi.org/10.1080/19388160.201 3.861778
Yoo, B. and Donthu, N. "Developing and validating a multidimensional consumer-based brand equity scale." Journal of Business Research, vol. 52, no. 1, 2001, pp. 1-14. https://doi.org/10.1016/S0148-2963(99)00098-3
Yoo, B. et al. "An examination of selected marketing mix elements and brand equity." Journal of the Academy of Marketing Science, vol. 28, no. 2, 2000, pp. 195-211. https://doi.org/10.1177/0092070300282002
Keller, K.L. "Building strong brands in a modern marketing communications environment." Journal of Marketing Communications, vol. 15, no. 2/3, 2009, pp. 139-155.
Keller, K.L. Strategic brand management: building, measuring, and managing brand equity. Prentice Hall, 2008.
Khuong, M.N. and Duyen, H.T.M. "Personal factors affecting consumer purchase decision towards men skin care products: a study in Ho Chi Minh City, Vietnam." International Journal of Trade, Economics and Finance, vol. 7, no. 2, 2016, pp. 44-50.
Mutsikiwa, M. and Marumbwa, J. "The impact of aesthetics package design elements on consumer purchase decisions: a case of locally produced dairy products in Southern Zimbabwe." Journal of Business and Management, vol. 8, no. 5, 2013, pp. 64-71.
Kotler, P. and Keller, K.L. Marketing management. 15th ed., Pearson Education, 2016.
Peter, J.P. and Olson, J.C. Consumer behavior and marketing strategy. 9th ed., McGraw-Hill, 2010.
Schiffman, L.G. and Kanuk, L.L. Consumer behavior. 10th ed., Pearson Prentice Hall, 2010.
Hawkins, D.I. and Mothersbaugh, D.L. Consumer behavior: building marketing strategy. 12th ed., McGraw-Hill, 2013.
Engel, J.F. et al. Consumer behavior. 10th ed., Dryden Press, 2006.
Loudon, D.L. and Della Bitta, A.J. Consumer behavior: concepts and applications. 4th ed., McGraw-Hill, 1993.
Solomon, M.R. Consumer behavior: buying, having, and being. 11th ed., Pearson, 2015.
Hawkins, D.I. et al. Consumer behavior: building marketing strategy. 13th ed., McGraw-Hill, 2016.
Blackwell, R.D. et al. Consumer behavior. 9th ed., South-Western College Pub, 2001.
Assael, H. Consumer behavior: a strategic approach. Houghton Mifflin, 2004.
Arnould, E.J. et al. Consumers. 2nd ed., McGraw-Hill, 2004.
East, R. et al. Consumer behaviour: applications in marketing. Sage, 2008.
Foxall, G.R. et al. Consumer psychology for marketing. 2nd ed., Thomson Learning, 1998.
Sheth, J.N. et al. Consumer behavior: a managerial perspective. 2nd ed., South-Western College Pub, 1999.
Hawkins, D.I. and Mothersbaugh, D.L. Consumer behavior: building marketing strategy. 11th ed., McGraw-Hill, 2010.
Solomon, M.R. et al. Consumer behaviour: a European perspective. 5th ed., Pearson Education, 2013.
Hoyer, W.D. et al. Consumer behavior. 6th ed., South-Western College Pub, 2012.
Kardes, F.R. et al. Consumer behavior. Cengage Learning, 2011.
Evans, M. et al. Consumer behaviour. 2nd ed., Wiley, 2009.
Wells, W. et al. Advertising: principles and practice. 7th ed., Pearson, 2006.
Belch, G.E. and Belch, M.A. Advertising and promotion: an integrated marketing communications perspective. 10th ed., McGraw-Hill, 2015.
Shimp, T.A. and Andrews, J.C. Advertising, promotion, and other aspects of integrated marketing communications. 9th ed., Cengage Learning, 2013.
Moriarty, S. et al. Advertising and IMC: principles and practice. 10th ed., Pearson, 2014.
Arens, W.F. et al. Contemporary advertising and integrated marketing communications. 15th ed., McGraw-Hill, 2015.
Clow, K.E. and Baack, D. Integrated advertising, promotion, and marketing communications. 7th ed., Pearson, 2015.
Hackley, C. Advertising and promotion: an integrated marketing communications approach. 3rd ed., Sage, 2018.
Percy, L. Strategic integrated marketing communications. 2nd ed., Routledge, 2014.
Fill, C. and Turnbull, S. Marketing communications: discovery, creation and conversations. 7th ed., Pearson, 2016.
Belch, G.E. and Belch, M.A. Advertising and promotion: an integrated marketing communications perspective. 11th ed., McGraw-Hill, 2017.