The use of organophosphates like Aluminum Phosphide and 2,2- Dichlorovinyl dimethyl phosphate compound (Sniper) also known as Dichlorvos has led to an increase in quantity and quality of Agricultural products. However, improper use of these chemicals can lead to poisoning. Suicides and deaths by accidental ingestion or inhalation of these chemicals are of great concern. Their toxicity is due to their ability to inhibit acetylcholine estarase at the cholinergic junction of the nervous system.
Aluminum Phosphide is a cheap, effective and commonly used pesticide. It pesticidal activity is associated with it ability to release Phosphine gas which is toxic. The mode of poisoning could be through inhalation, ingestion or skin absorption. This chemical could affect the heart, gastrointestinal tract, mitochondrial system and the nervous system. Signs and symptoms could involve hemorrhage, ulceration, Glasgow coma scale, headache, restlessness, ataxia, agitation, etc. Phosphine gas inhibits acetylcholine esterase.
Sniper i.e. 2,2-Dichlorovinyl dimethyl phosphate compound is a chemical that is used against household insects as well as Agricultural pests. There is report of accidental and intentional use of this chemical for suicide purpose. Dichlorvos binds to the enzyme acetylcholine esterase thereby preventing the hydrolysis of acetylcholine which eventually leads to acetylcholine accumulation. This can cause oxidative stress and multi-organ damage. It is easily metabolized and expelled out of the body but fatal dose could be detrimental to health and even cause death. Victims could experience perspiration, lacrimation, nausea, muscle fasciculation, convulsion, coma and even death.
Insect pests are one of the major organisms that are responsible for reduction in quality, germination potential and quantity of maize grains/seeds in storage. Between 40 and 100% losses of agricultural produce had been reported without chemical treatment at household levels in Malawi [1] while about 45% of the total production of rice and cocoa were lost without the use of pesticides [2]. However, the increase use of organophosphate pesticides in crop protection results in increase possibility of feed/food contamination. When used, pesticides could contaminate the environment and accumulate in the food chain [3], thereby posing a potential threat to human health as well as the environment when not properly used [4].
Hence, this study was designed to assess the uses, mechanism, toxicity and possible managerial treatment as a result of exposure to these chemicals.
Aluminum Phosphide
Aluminium phosphide is a highly toxic chemical with the formula of AlP and it continues to kill millions around the globe with an astonishing mortality rate of 40%-100% [5].
The absence of a specific antidote is regarded as the underlying cause of death. The pestidal activity of AlP is attributed to its property of releasing phosphine gas also known as hydrogen phosphide, first discovered by a German company named Degesch. The gas if inhaled or produced inside the human body after ingestion of AlP affects a number of organs like: kidney, lungs, liver, gastrointestinal tract as well as the central nervous system [6].
AlP crystals are dark grey to dark yellow in color and have a zinc blende crystal structure with a lattice constant of 5.4510 Å at 300 K. They are thermodynamically stable up to 1,000 °C (1,830 °F) [7].
Aluminium phosphide reacts with water or acids to release phosphine:
AlP + 3 H2O → Al(OH)3 + PH3
(1)
AlP + 3 H+ → Al3+ + PH3
(2)
AlP is synthesized by combination of the elements:
4Al + P4 → 4AlP
(3)
Caution must be taken to avoid exposing the AlP to any sources of moisture, as this generates toxic phosphine gas. Explosion of material. AlP is used as a rodenticide, insecticide and fumigant for stored cereal grains. It is used to kill small verminous mammals such as moles and rodents. The tablets or pellets, known as "wheat pills", typically also contain other chemicals that evolve ammonia which helps to reduce the potential for spontaneous ignition or explosion of the phosphine gas.
AlP is used as both a fumigant and an oral pesticide. As a rodenticide, Aluminium phosphide pellets are provided as a mixture with food for consumption by the rodents. The acid in the digestive system of the rodent reacts with the phosphide to generate the toxic phosphine gas. Other pesticides similar to Aluminium phosphide are zinc phosphide and calcium phosphide. In this application, Aluminium phosphide can be encountered under various brand names as Quickphos, Celphos, Fostox, Fumitoxin, Phostek, Phostoxin, Talunex, Fieldphos and Weevil-Cide. It generates phosphine gas according to the following hydrolysis equation;
2 AlP + 6 H2O → Al2O3∙3 H2O + 2 PH3
(4)
It is used as a fumigant when other pesticide applications are impractical and when structures and installations are being treated, such as in ships, aircraft and grain silos. All of these structures can be effectively sealed or enclosed in a gastight membrane, thereby containing and concentrating the phosphine fumes. Fumigants are also applied directly to rodent burrows.
During inhalation, aluminum phosphide reacts with water whereas during ingestion, it reacts with HCl in stomach.

Figure 1: Phosphine toxicity pathways: Inhalation and ingestion
Phosphine is formed via both processes. Phosphine follows same pathway in both the cases and leads to mitochondrial damage by inhibiting Cytocohrome c oxidase. Hydroxyl radicals, thus, produced cause lipid peroxidation and protein denaturation. This mitochondrial damage in gastro-intestinal tract cause ulcers and hemorrhages and eventually renal and hepatic failure whereas it causes diffused alveolar damage in lungs leading to alveolar edema, hemorrhages and in many cases Ischemic stroke.
Mechanism of Toxicity
The exact mechanism by which aluminum phosphide causes poisoning is still not known. Systemic complications and multi-organ failure are involved in acute aluminum phosphide poisoning. Phosphine gas is generally released when aluminum phosphide is ingested [5]. Phosphine molecule has three hydrogen atoms and a phosphorus atom i.e. PH3. Phosphorus in turn, has 5 valence electrons, with 2 paired electrons in s-orbital and 3 unpaired electrons in its p-orbital. Three molecular bonds can easily be formed by these three unpaired electrons in the p-orbital. Also, s-orbital electrons can participate in bond formation with oxygen. This happens in case of sufficient oxygen, where oxiderivatives of phosphine like H3PO are formed with imbalances between blood phosphorous and oxygen. Phosphine is cytotoxic and is mainly involved in free radical mediated injury. It is a nucleophile and a strong reducing agent and hence is capable enough of holding back many cellular enzymes in various metabolic processes [8]. It is gradually absorbed by gastro intestinal tract following a simple diffusion method wherein phosphine released inhibits cytochrome c oxidase in the mitochondria, which in turn inhibits cellular utilization. In an experimental procedure it was revealed that Complex IV, also known as cytochrome c oxidase, is a primary site for electron transport chain (ETC) and PH3 interaction [9]. Chefurka et al. [9] later suggested that oxidation state of cytochrome a was highly reduced on treatment with phosphine. Also, PH3 can form complex with metal ion cofactors at active site of enzymes which is basis of cytochrome c oxidase inhibition. Due to this, around 70% of oxidative respiration which occurs in mitochondria is inhibited. Various harmful cellular radicals like superoxides and peroxides are generated as a result of lipid peroxidation which is a result of reduction in oxidative respiration [5]. Furthermore, it promotes protein denaturation that results in breakdown of integrity of cell [10]. Cellular oxidative stress, hence, is a result of this suppression of oxidative respiration and ETC-PH3 interaction [11].
Toxicity
Highly poisonous, aluminium phosphide has been used for suicide. Fumigation has also caused unintentional deaths. Known as "rice tablet" in Iran, for its use to preserve rice, there have been frequent incidents of accidental or intentional death. There is a campaign by the Iranian Forensic Medicine Organization to stop its use as a pesticide [12].
Mitochondrial Complex as the Main Target of ALP
Phosphine, by changing in electron transfer chain, reacts with the mitochondrial respiratory chain as the main source of free radical production and interferes with oxidative phosphorylation, leading to high production of ROS and decreased ATP levels. This causes a cell energy crisis. Therefore, mitochondria are known to be the main target of phosphine [13]. By producing ROS including superoxide (O20−) and H2O2, cellular oxidative stress acts the same as reactive nitrogen species (RNS) which mainly include NO and peroxynitrite as by-products of a set of enzymes that participate in electron transfer. ROS/RNS potentially damage biological macromolecules, leading to cell death [14]. Although many studies have so far been performed to identify the mechanism of phosphine toxicity, its exact mechanism is still unclear. However, most studies have estimated an increase in oxidative stress and a decrease in antioxidant capacity as the primary mechanism of toxicity [15]. Phosphine acts at the mitochondrial level and after systemic absorption, impairs the synthesis of enzymes and proteins.
Effect of ALP on Cardiomyocyte
The heart is the main organ affected by ALP poisoning. Cardiovascular disorders due to ALP poisoning, which include refractory hypotension, dysrhythmia and congestive heart failure, occur within 12 to 24 h of exposure. In general, cardiac toxicity, cardiac dysfunction and circulatory collapse that led to cardiomyocyte death have been identified as the leading causes of death in ALP poisoning [10]. Mitochondria, as critical organelles, are abundant in cardiomyocytes and by producing ATP through the process of oxidative phosphorylation, contribute to the contractile function of cardiomyocytes and provide 90% of the energy of these cells [16]. One of the most important and prominent features of ALP poisoning is impaired hemostasis of cardiac energy [17], with ALP directly affecting cardiac myocytes. ALP also disrupts the electron transport chain, which in turn disrupts cell energy demand, inhibits cytochrome c oxidase activity as one of the enzymes in the electron transport chain (ETC), reduces ATP levels and ultimately reduces myocardial energy. In addition to reducing energy, the production of free radicals, especially ROS and oxidative stress, which lead to LPO, contributes to ALP-induced cardiac toxicity [16].
Following the uptake of phosphine through gastric mucosa, vascular wall degeneration, hemolysis and methemoglobinemia (Met-Hb) occur, leading to organ damage [18]. ALP can directly damage blood vessels and the RBC membrane or by inducing free radicals, it can cause hemoglobinemia and intravascular hemolysis, in which oxidative stress plays a significant role in the formation of these lesions [19]. Exposure to chemicals that oxidize ferrous hemoglobin to ferric form can lead to the production of Met-Hb [20]. Decreased Met-Hb capacity to deliver enough oxygen to tissues could be another reason for multiple organ failure following ALP poisoning. Clinical manifestations of Met-Hb are due to a decrease in oxygen transport capacity and consequently tissue hypoxia, which helps to worsen the patient’s condition [21].
Diagnosis
The diagnosis of AlP ingestion can be confirmed by detecting phosphine in exhaled air or in GI aspirate. In stomach, phosphine gas can be detected by the silver nitrate test. To perform this test, gastric contents are diluted with of water in a flask and the flask is heated at 50oC for 15-20 minutes. Then, two round pieces of filter paper, one impregnated with 0.1 N silver nitrate and other with 0.1 N lead acetate are placed alternately on the mouth of the flask, if phosphine gas is present in the gastric contents, then due to conversion silver nitrate to metallic silver, the silver nitrate paper turns black while the lead acetate paper does not change color. If hydrogen sulphide is present, both the papers turn black. The reaction takes place as follows:
8AgNO3 +PH3 +4H2O → 8Ag +H3PO4 + 8HNO3
(5)
Due to the increasing prevalence of ALP poisoning in recent years, many studies have been conducted on this topic, especially to find effective treatment given that, ALP intoxication has no particular counteractant, the foundation for treatment is supportive care of treatment is supportive care. Digoxin, 0.5 mg initially followed by 0.5 mg at 6 h intervals. It resolves cardiogenic shock due to left ventricle failure [22]. Hyperbaric Oxygen. It increases survival time [23]. 25Mg 2 + carrying nanoparticle. It increases blood pressure and heart rate; increase in antioxidant power, Mg level in the plasma and the heart; reduction in lipid peroxidation and ADP/ATP ratio [24]. Intragastric irrigation with Sweet almond oil. It has protective effect for plasma cholinesterase inhibition in AlP poisoning, decreased mortality rate [25]. Vitamin C (1 g at 6 h intervals, i.v.) + methylene blue (1 mg/kg of 1 % solution). Twelve hours after treatment with vitamin C, the methaemoglobin concentration decreased from 46 % to 33 %. high doses of methylene blue, the methaemoglobin concentration decreased to 23 % [18]. Atropine (1 mg kg-1, intraperitoneal) + Pralidoxime (5 mg/kg, intraperitoneal) administered five minutes after AlP exposure [26]. N-Acetyl-cysteine (NAC) cause inhibition cardiotoxicity induced by ALP poison [27].
Biochemical and histopathological findings in postmortem cases revealing pulmonary oedema, asphyxic lesions in the pulmonary parenchyma, gastrointestinal mucosal congestion and petechial haemorrhages on the surface of liver and brain. Desquamation of the lining epithelium of the bronchioles, vacuolar degeneration of hepatocytes, dilatation and engorgement of hepatic central veins, sinusoids and areas showing nuclear fragmentation [28].
Dichlorovinyl Dimethyl Phosphate Compound (SNIPER)
Dichlorvos (2,2-dichlorovinyl dimethyl phosphate), commonly abbreviated as DDVP is an organophosphate widely used as an insecticide to control household pests, in public health and protecting stored products from insects. The compound has been commercially available since 1961 and has become controversial because of its prevalence in urban waterways and the fact that its toxicity extends well beyond insects. The insecticide has been banned in EU since 1998.
Dichlorvos is effective against mushroom flies, aphids, spider mites, caterpillars, thrips and whiteflies in greenhouses and in outdoor crops. It is also used in the milling and grain handling industries and to treat a variety of parasitic worm infections in animals and humans. It is fed to livestock to control botfly larvae in manure. It acts against insects as both a contact poison and an ingested poison. It is available as an aerosol and soluble concentrate. It is also used in pet flea collars and "no-pest strips" in the form of a pesticide-impregnated plastic; this material has been available to households since 1964 and has been the source of some concern, partly due to misuse.
Mechanism of Action of Dichlorvos
Dichlorvos, like other organophosphate insecticides, acts on acetylcholinesterase, associated with the nervous systems of insects. Evidence for other modes of action, applicable to higher animals, have been presented. It is claimed to damage DNA of insects.
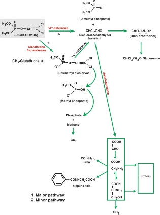
Metabolic fate of dichlorvos in human and other mammals of the organophosphates, dichlorvos is distinct for its rapid metabolism and excretion by mammals. Dichlorvos was not detected in the blood of mice, rats and

Figure 2: Pathway for metabolism of dichlorvos in mammals
humans after exposure at atmospheric concentration of up to 17 times that normally reached for insect control in homes. This rapid disappearance is due to the presence of degrading enzymes in tissues and blood plasma. Dichlorvos does not accumulate in body tissues and has not been detected in the milk of cow or rat even at doses capable of producing symptoms of poisoning [29].
It can be exposed to dichlorvos in the workplace by breathing it in, skin absorption, swallowing it and eye contact. The Occupational Safety and Health Administration (OSHA) has set the legal limit (permissible exposure limit) for dichlorvos exposure in the workplace as 1 mg/m3 over an 8-hour workday. The National Institute for Occupational Safety and Health (NIOSH) has set a recommended exposure limit (REL) of 1 mg/m3 over an 8-hour workday. At levels of 100 mg/m3, dichlorvos is immediately dangerous to life or health (IDLH).
In vitro genotoxicity of dichlorvos has been reported. Dichlorvos has been reported not to be genotoxic in vivo in animal studies [30,31]. However, in an in vitro study, Fiore and colleagues [32] reported disruption of mitotic division, production of mitotic arrest and chromosome aneuploidy/polyploidy in the proliferation of cell population in human cell culture by dichlorvos.
Dichlorvos exerts its toxic effects in humans and animals by inhibiting neural acetylcholinesterase [33]. Neurological effects have been reported in a number of animal studies following acute oral exposure with little information on humans. Luiz and Colleagues [34] reported a case of organophosphate-induced delayed neuropathy of two weeks later in a 39-year-old lady who drank large amount of a dichlorvos based insecticide. In an animal study, Aditya et al. [35] reported activation induced apoptotic cell death in primary rat microglia. In another study, Binukumar et al. [36] reported t neuronal death following chronic exposure of 2.5mg/kg/daily of dichlorvos in rat.
There is no available literature on the reproductive effect of dichlorvos in humans. However, a study on the effects of dichlorvos on fertility of male mice via intraperitoneal injection reported significant decrease in sperm number and increase in sperm abnormalities [37]. In another study, Ezeji and Collegues [38] reported significant reduction in testosterone levels of adult male rats fed water contaminated with dichlorvos.
There is no literature on the carcinogenic effects on humans. Several animal studies, including that of Wang and Colleagues [39], examined the risk assessment of mouse gastric tissue cancer induced by dichlorvos and dimethoate using varying doses on male Kunming mice. The study reported upregulation of p16, BCL-2 and C-myc genes in mouse gastric tissue in the orally administered 40mg/kg/day dose category. Hence the authors submitted that mouse gastric tissues exposed to high doses of dichlorvos in the long term have the potential to become cancerous [39].
Respiratory irritation following dichlorvos exposure was reported in a study [40] involving children. The study reported strong correlation between acute respiratory symptoms and exposure to dichlorvos. However, the authors could not rule out irritant effects of the solvents used to disperse the dichlorvos. An animal study on the acute toxic effect of inhaled dichlorvos vapor on respiratory mechanism in guinea pigs reported significant decrease in respiratory frequency and significantly increased tidal volume in the 35 mg/mL and 75 mg/mL treated animals [41].
Vesicle cellulitis and thrombophlebitis of the extremities and bullae appearance have been reported in acute injection of dichlorvos in attempted suicide patients [42,43]. An earlier report of dermatitis of the neck, anterior chest, dorsal hands and forearms in a 52-year-old truck driver who had dermal exposure to dichlorvos was reported by Mathias [44]. In an earlier study, a tenfold increase in serum creatinine phosphokinase, suggestion of muscle damage [33], was reported in greyhound dogs treated with 11 mg/kg dichlorvos capsule. However, contrasting studies [45,46] reported no gross or histological treatment related damage to skeletal muscles in Fischer 344 rats treated with up to 8mg/kg/day dichlorvos for 5 days a week for 2 years by oral gavage and B6C3F1 mice treated with up to 40 mg/kg/day dichlorvos for 5 days a week for 2 years.
An animal study on the effect of dichlorvos treatment on butyrylcholinesterase (BuChE) activity and lipid metabolism of rats reported significant decrease in BuChE activity in both sexes of the rats as well as significant increase in triglycerides (60–600%) and total cholesterol (35–75%). In another animal study, rats administered a single dose of dichlorvos equal to 50% of the LD50, were reported to develop hyperglycemia [47]. Moreover, cytoplasmic vacuolation of adrenal cortical cells were reported in male Fischer 344 rats following oral administration of 4 or 8 mg/kg/day of dichlorvos for 5 days a week for two years [46].
There is evidence from occupational exposures that dichlorvos has the potential to cause skin sensitization. Human diagnostic patch tests of occupational flower growers with a history of pesticide dermatitis have shown an allergic contact dermatitis response to dichlorvos [48]. In an animal study, Desi et al. studied the effect of daily oral administration of LD50 1/40, 1/20, 110 dichlorvos in male rabbits (2.0–2.5 kg body weight) after vaccination with Salmonella typhi. The study reported a dose-dependent fall in the serum antibody titer of the treated animals in contrast with the control group.
Dichlorvos at high doses will elicit classical symptoms of organophosphate toxicity such as miosis, tremor, increased salivation, lacrimation, pulmonary secretions and perspiration. Dichlorvos exposure can be diagnosed based on its tendency to inhibit cholinesterase activity. Hence, serum cholinesterase appears to be more sensitive to inhibition by dichlorvos and other organophosphate than erythrocyte acetylcholinesterase. However, serum cholinesterase activity recovers more rapidly than erythrocyte acetylcholinesterase because of the high turnover rate of the serum protein compared to erythrocytes. In conditions of chronic exposure, the patient may demonstrate only reduced erythrocyte acetylcholinesterase activity and normal serum cholinesterase activity, thus giving false negative result. The true reflection of depressed cholinesterase activity is found in erythrocyte activity. Erythrocyte acetylcholinesterase recovers at the rate of 1% per day in untreated patients and takes about 6 to 12 weeks to normalize, whereas serum cholinesterase levels may recover in 4 to 6 weeks. It is pertinent to note that confirmation (aside patient history) of specific exposure to dichlorvos is difficult as the cholinesterase inhibition is similar to other organophosphate pesticides and requires elaborate analytical chemistry. The rapid metabolism of dichlorvos by liver and blood esterases makes it almost impossible to detect intact dichlorvos in humans and rarely in animals. More so, the major metabolites (dimethyl phosphate and glucuronide conjugate of dichloroethanol) are rapidly excreted into urine and will have left the body within a day or two of cessation of exposure. Dimethyl phosphate has been measured in the urine of pesticide applicators by extraction with an ion exchange resin, derivitization and gas chromatography [33]. Dichloroethanol has been detected in the urine of a human volunteer after glucuronidase treatment and gas-liquid chromatography [49].
These organophosphates should be sold with discretion. Parents are also advised to keep chemicals out of the reach of children. Also, regulatory bodies should put rules and regulation in place in other to checkmate how these chemicals are sold and used. It is also very important for antidote to be manufactured so as to reduce mortality rate due to poisoning.
Denning, G. et al. "Input subsidies to improve smallholder maize productivity in Malawi: Toward an African green revolution." PLoS Biology, vol. 7, no. 1, 2009, e1000023.
Tijani, A.A. "Pesticide use and safety issues: The case of cocoa farmers in Ondo State, Nigeria." Journal of Human Ecology, vol. 19, 2006, pp. 183–90.
Ogah, C.O. and H.B. Coker. "Quantification of organophosphate and carbamate pesticide residues in maize." Journal of Applied Pharmaceutical Science, vol. 2, no. 9, 2012, pp. 93–97.
Kishi, M. "The health impacts of pesticides: What do we know?" In Pretty J., editor. The Pesticide Detox: Toward a More Sustainable Agriculture. London, 2005, pp. 23–38.
Moghadamnia, A.A. "An update on toxicology of aluminum phosphide." Daru, vol. 20, no. 1, 2012, p. 25.
Chemistry Learner. "Aluminum phosphide." www.chemistrylearner.com/aluminum-phosphide.html.
Holleman, A.F. and E. Wiberg. Inorganic Chemistry. Academic Press, 2001.
Mathai, A. and M.S. Bhanu. "Acute aluminium phosphide poisoning: Can we predict mortality?" Indian Journal of Anaesthesia, vol. 54, no. 4, 2010, p. 302.
Chefurka, W. et al. "The effect of phosphine on electron transport in mitochondria." Pesticide Biochemistry and Physiology, vol. 6, no. 1, 1976, pp. 65–84.
Mehrpour, O. et al. "A systematic review of aluminium phosphide poisoning." Archives of Industrial Hygiene and Toxicology, vol. 63, no. 1, 2012, pp. 61–73.
Nath, N.S. et al. "Mechanisms of phosphine toxicity." Journal of Toxicology, vol. 179, 2011, pp. 1–8.
Shadnia, S. et al. "A retrospective 7-years study of aluminum phosphide poisoning in Tehran: Opportunities for prevention." Human & Experimental Toxicology, vol. 28, no. 4, 2009, pp. 209–13.
Proudfoot, A.T. "Aluminium and zinc phosphide poisoning." Clinical Toxicology, vol. 47, no. 2, 2009, pp. 89–100.
Jezek, P. et al. "Distinctions and similarities of cell bioenergetics and the role of mitochondria in hypoxia, cancer and embryonic development." International Journal of Biochemistry and Cell Biology, vol. 42, no. 5, 2010, pp. 604–22.
Anand, R. et al. "Mitochondrial electron transport chain complexes, catalase and markers of oxidative stress in platelets of patients with severe aluminum phosphide poisoning." Human & Experimental Toxicology, vol. 32, no. 8, 2013, pp. 807–16.
Baghaei, A. et al. "Molecular and biochemical evidence on the protection of cardiomyocytes from phosphine-induced oxidative stress, mitochondrial dysfunction and apoptosis by acetyl-l-carnitine." Environmental Toxicology and Pharmacology, vol. 42, 2016, pp. 30–37.
Dua, R. et al. "Altered glucose homeostasis in response to aluminium phosphide-induced cellular oxygen deficit in rat." Indian Journal of Experimental Biology, vol. 48, no. 7, 2010, p. 722.
Soltaninejad, K. et al. "Unusual complication of aluminum phosphide poisoning: Development of hemolysis and methemoglobinemia and its successful treatment." Indian Journal of Critical Care Medicine, vol. 15, no. 2, 2011, p. 117.
Vosooghi, A.A. and M. Salmasi. "G6PD deficiency and aluminum phosphide poisoning." Journal of Research in Medical Sciences, vol. 23, no. 1, 2018, p. 83.
Lakshmi, B. "Methemoglobinemia with aluminum phosphide poisoning." The American Journal of Emergency Medicine, vol. 20, no. 2, 2002, pp. 130–32.
Chui, J. et al. "Nitrite-induced methaemoglobinaemia: Aetiology, diagnosis and treatment." Anaesthesia, vol. 60, no. 5, 2005, pp. 496–500.
Mehrpour, O. et al. "Successful treatment of aluminum phosphide poisoning with digoxin: A case report and review of literature." International Journal of Pharmacology, vol. 7, 2011, pp. 761–64.
Saidi, H. et al. "Effects of hyperbaric oxygenation on survival time of aluminum phosphide intoxicated rats." Journal of Research in Medical Sciences, vol. 16, no. 10, 2011.
Baeeri, M. et al. "On the benefit of magnetic magnesium nanocarrier in cardiovascular toxicity of aluminum phosphide." Toxicology and Industrial Health, vol. 29, no. 2, 2013, pp. 126–35.
Saidi, H. and S. Shojaie. "Effect of sweet almond oil on survival rate and plasma cholinesterase activity of aluminum phosphide-intoxicated rats." Human & Experimental Toxicology, vol. 31, no. 5, 2012, pp. 518–22.
Mittra, S. et al. "Cholinesterase inhibition by aluminium phosphide poisoning in rats and effects of atropine and pralidoxime chloride." Acta Pharmacologica Sinica, vol. 22, no. 1, 2000, pp. 37–39.
Taghaddosinejad, F. et al. "The effect of N-acetyl cysteine (NAC) on aluminum phosphide poisoning inducing cardiovascular toxicity: A case–control study." SpringerPlus, vol. 5, no. 1, 2016, p. 1948.
Anger, F. et al. "Fatal aluminum phosphide poisoning." Journal of Analytical Toxicology, vol. 24, 2000, pp. 90–92.
Hayes, W.J. and E.R. Laws. Handbook of Pesticide Toxicology: Classes of Pesticides. Vol. 3, Academic Press, 1990.
Nazam, N. and S. Shaikh. "Assessment of genotoxic potential of the insecticide dichlorvos using cytogenetic assay." Interdisciplinary Toxicology, vol. 6, no. 2, 2013, pp. 76–82.
Thorpe, E. et al. "Teratological studies with dichlorvos vapour in rabbits and rats." Archives of Toxicology, vol. 30, no. 1, 1972, pp. 29–38.
Fiore, M. and P. Totta. "The pesticide dichlorvos disrupts mitotic division by delocalizing the kinesin kif2a from centrosomes." Environmental and Molecular Mutagenesis, vol. 54, no. 4, 2013, pp. 250–60.
ATSDR. Toxicological Profiles of Dichlorvos. U.S. Department of Health and Human Services, 1997.
Luiz, F.R.V. et al. "Organophosphate-induced delayed neuropathy." Arquivos de Neuro-Psiquiatria, vol. 60, no. 4, 2002, pp. 1003–07.
Aditya, S. et al. "Dichlorvos exposure results in activation-induced apoptotic cell death in primary rat microglia." Chemical Research in Toxicology, vol. 25, no. 8, 2012, pp. 1762–70.
Binukumar, B.K. et al. "Nigrostriatal neuronal death following chronic dichlorvos exposure: Crosstalk between mitochondrial impairments, α-synuclein aggregation, oxidative damage and behavioral changes." Molecular Brain, vol. 3, 2010, p. 5.
Faris, S.K. "Effects of dichlorvos pesticide on fertility of laboratory male mice (Mus musculus L.)." Basrah Journal of Veterinary Research, vol. 7, no. 1, 2008, pp. 9–18.
Ezeji, E.U. et al. "Effects of dichlorvos on the fertility of adult male albino rats." Nature and Science, vol. 13, no. 12, 2015, pp. 1–5.
Wang, Q. et al. "Risk assessment of mouse gastric tissue cancer induced by dichlorvos and dimethoate." Oncology Letters, vol. 5, 2013, pp. 1385–89.
Mathur, M.L. et al. "A study of an epidemic of acute respiratory disease in Jaipur town." Journal of Postgraduate Medicine, vol. 46, no. 2, 2000, pp. 88–90.
Taylor, J.T. et al. "Acute toxic effects of inhaled dichlorvos vapor on respiratory mechanics and blood cholinesterase activity in guinea pigs." Inhalation Toxicology, vol. 20, no. 5, 2008, pp. 465–72.
Cahfer, G. et al. "Dichlorvos poison after intramuscular injection." American Journal of Emergency Medicine, vol. 22, no. 4, 2004, pp. 328–30.
Sundarka, M.K. et al. "Self-injection of insecticide." Journal of the Association of Physicians of India, vol. 48, 2000, p. 856.
Mathias, C.G. "Persistent contact dermatitis from the insecticide dichlorvos." Contact Dermatitis, vol. 9, no. 3, 1983, pp. 217–18.
Laudari, S. et al. "Cardiovascular effects of acute organophosphate poisoning." Asia Pacific Journal of Medical Toxicology, vol. 3, 2014, pp. 64–67.
National Toxicology Program (NTP). Toxicology and Carcinogenesis Studies of Dichlorvos (CAS No. 62-73-7) in F344/N Rats and B6C3F1 Mice. NTP Technical Report No. 342, 1989.
Teichert-Kuliszewska, K. and T. Szymczyk. "Change in rat carbohydrate metabolism after acute and chronic treatment with dichlorvos." Toxicology and Applied Pharmacology, vol. 47, no. 2, 1979, pp. 323–30.
National Institute for Occupational Safety and Health (NIOSH). NIOSH Skin Notation (SK) Profiles: Dichlorvos. U.S. Dept. of Health and Human Services, CDC, 2017, Publication No. 134.
Hutson, D.H. and E.C. Hoadley. "The metabolism of [14C-methyl] dichlorvos in the rat and the mouse." Xenobiotica, vol. 2, 1972, pp. 107–16.